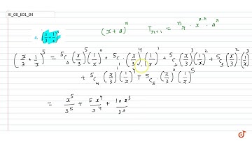
4. Expand (x/3+1/x)^5 using binomial theorem || class 11 maths exercise 7.1 Question 4

Tonton & Download Video Musik Gratis

⬇ DOWNLOAD NOW
Jika muncul iklan pop-up, tutup lalu klik tombol kembali

Download lagu 4. Expand (x/3+1/x)^5 using binomial theorem || class 11 maths exercise 7.1 Question 4 secara gratis hanya untuk keperluan promosi. Dukung artis favorit kamu dengan membeli musik original di iTunes atau platform resmi lainnya.