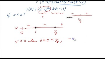
AP Calculus BC series, video 41 -Questions on Particle Motion in Parametric Equations

Tonton & Download Video Musik Gratis

⬇ DOWNLOAD NOW
Jika muncul iklan pop-up, tutup lalu klik tombol kembali

Download lagu AP Calculus BC series, video 41 -Questions on Particle Motion in Parametric Equations secara gratis hanya untuk keperluan promosi. Dukung artis favorit kamu dengan membeli musik original di iTunes atau platform resmi lainnya.