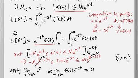
Lesson 55: Solving Initial Value Problems using Laplace Transform Techniques (IV)

Tonton & Download Video Musik Gratis

⬇ DOWNLOAD NOW
Jika muncul iklan pop-up, tutup lalu klik tombol kembali

Download lagu Lesson 55: Solving Initial Value Problems using Laplace Transform Techniques (IV) secara gratis hanya untuk keperluan promosi. Dukung artis favorit kamu dengan membeli musik original di iTunes atau platform resmi lainnya.