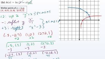
Day 55 - 3.3 Day 4 (Logarithmic Functions and their Graphs)

Tonton & Download Video Musik Gratis

⬇ DOWNLOAD NOW
Jika muncul iklan pop-up, tutup lalu klik tombol kembali

Download lagu Day 55 - 3.3 Day 4 (Logarithmic Functions and their Graphs) secara gratis hanya untuk keperluan promosi. Dukung artis favorit kamu dengan membeli musik original di iTunes atau platform resmi lainnya.