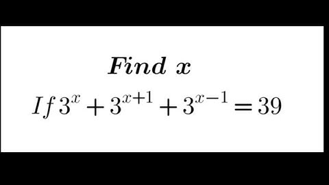
find the value of x, exponent related simplification #simplification #exponents #maths #mathematics

Tonton & Download Video Musik Gratis

⬇ DOWNLOAD NOW
Jika muncul iklan pop-up, tutup lalu klik tombol kembali

Download lagu find the value of x, exponent related simplification #simplification #exponents #maths #mathematics secara gratis hanya untuk keperluan promosi. Dukung artis favorit kamu dengan membeli musik original di iTunes atau platform resmi lainnya.