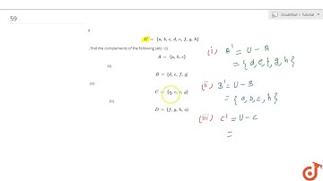
Let U={a, b, c, d, e, f, g, h}. Find the complements of the following sets | A = {a, b, c}

Tonton & Download Video Musik Gratis

⬇ DOWNLOAD NOW
Jika muncul iklan pop-up, tutup lalu klik tombol kembali

Download lagu Let U={a, b, c, d, e, f, g, h}. Find the complements of the following sets | A = {a, b, c} secara gratis hanya untuk keperluan promosi. Dukung artis favorit kamu dengan membeli musik original di iTunes atau platform resmi lainnya.