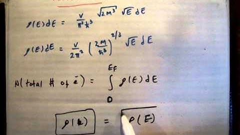
Solid State Physics in a Nutshell: Topic 10-3: Fermi Level

Tonton & Download Video Musik Gratis

⬇ DOWNLOAD NOW
Jika muncul iklan pop-up, tutup lalu klik tombol kembali

Download lagu Solid State Physics in a Nutshell: Topic 10-3: Fermi Level secara gratis hanya untuk keperluan promosi. Dukung artis favorit kamu dengan membeli musik original di iTunes atau platform resmi lainnya.