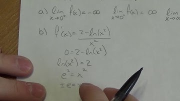
Math 31 - Lesson 5.4 - curve sketching exponential and logarithmic functions

Tonton & Download Video Musik Gratis

⬇ DOWNLOAD NOW
Jika muncul iklan pop-up, tutup lalu klik tombol kembali

Download lagu Math 31 - Lesson 5.4 - curve sketching exponential and logarithmic functions secara gratis hanya untuk keperluan promosi. Dukung artis favorit kamu dengan membeli musik original di iTunes atau platform resmi lainnya.