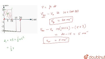
A particle starts from rest and accelerates as shown in Figure P2.16. Determine (a) the particle's

Tonton & Download Video Musik Gratis

⬇ DOWNLOAD NOW
Jika muncul iklan pop-up, tutup lalu klik tombol kembali

Download lagu A particle starts from rest and accelerates as shown in Figure P2.16. Determine (a) the particle's secara gratis hanya untuk keperluan promosi. Dukung artis favorit kamu dengan membeli musik original di iTunes atau platform resmi lainnya.