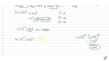
Show that integral part of [5 + 2*sqrt(6)] raised to the power n is an odd integer.

Tonton & Download Video Musik Gratis

⬇ DOWNLOAD NOW
Jika muncul iklan pop-up, tutup lalu klik tombol kembali

Download lagu Show that integral part of [5 + 2*sqrt(6)] raised to the power n is an odd integer. secara gratis hanya untuk keperluan promosi. Dukung artis favorit kamu dengan membeli musik original di iTunes atau platform resmi lainnya.