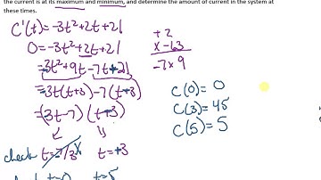
MCV4U Lesson 3.020 Optimization: Maximum and Minimum Values on an Interval

Tonton & Download Video Musik Gratis

⬇ DOWNLOAD NOW
Jika muncul iklan pop-up, tutup lalu klik tombol kembali

Download lagu MCV4U Lesson 3.020 Optimization: Maximum and Minimum Values on an Interval secara gratis hanya untuk keperluan promosi. Dukung artis favorit kamu dengan membeli musik original di iTunes atau platform resmi lainnya.