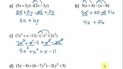
Math 099 Module 2.1 - Addition and Subtraction of Polynomial Expressions

Tonton & Download Video Musik Gratis

⬇ DOWNLOAD NOW
Jika muncul iklan pop-up, tutup lalu klik tombol kembali

Download lagu Math 099 Module 2.1 - Addition and Subtraction of Polynomial Expressions secara gratis hanya untuk keperluan promosi. Dukung artis favorit kamu dengan membeli musik original di iTunes atau platform resmi lainnya.