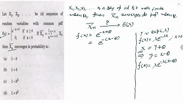
MLE for the Log of the Location Parameter in Shifted Exponential |UPSC ISS 2024 Paper-2 | Problem-22

Tonton & Download Video Musik Gratis

⬇ DOWNLOAD NOW
Jika muncul iklan pop-up, tutup lalu klik tombol kembali

Download lagu MLE for the Log of the Location Parameter in Shifted Exponential |UPSC ISS 2024 Paper-2 | Problem-22 secara gratis hanya untuk keperluan promosi. Dukung artis favorit kamu dengan membeli musik original di iTunes atau platform resmi lainnya.