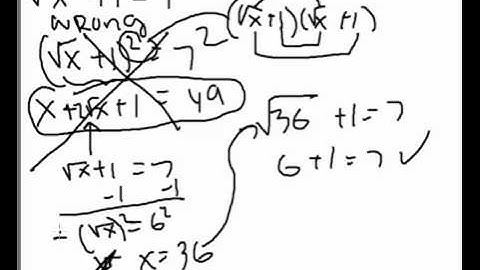
Radical Equation Walkthrough: Step-by-Step Solution!💡#satmathhacks #satmathtricks #radicalequations

Tonton & Download Video Musik Gratis

⬇ DOWNLOAD NOW
Jika muncul iklan pop-up, tutup lalu klik tombol kembali

Download lagu Radical Equation Walkthrough: Step-by-Step Solution!💡#satmathhacks #satmathtricks #radicalequations secara gratis hanya untuk keperluan promosi. Dukung artis favorit kamu dengan membeli musik original di iTunes atau platform resmi lainnya.