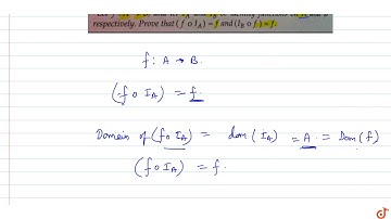
If f:A-B is a function and IA,IB then prove that foIA=IBof=f -Thoerem Functions

Tonton & Download Video Musik Gratis

⬇ DOWNLOAD NOW
Jika muncul iklan pop-up, tutup lalu klik tombol kembali

Download lagu If f:A-B is a function and IA,IB then prove that foIA=IBof=f -Thoerem Functions secara gratis hanya untuk keperluan promosi. Dukung artis favorit kamu dengan membeli musik original di iTunes atau platform resmi lainnya.