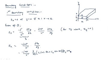
Rectangular Wave guide | Propagation of TE waves | Part-1/3 | Microwave Engineering | Lec-13

Tonton & Download Video Musik Gratis

⬇ DOWNLOAD NOW
Jika muncul iklan pop-up, tutup lalu klik tombol kembali

Download lagu Rectangular Wave guide | Propagation of TE waves | Part-1/3 | Microwave Engineering | Lec-13 secara gratis hanya untuk keperluan promosi. Dukung artis favorit kamu dengan membeli musik original di iTunes atau platform resmi lainnya.