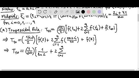
Use (a) the Trapezoidal Rule, (b) the Midpoint Rule, and (c) Simpson's Rule to approximate the give…

Tonton & Download Video Musik Gratis

⬇ DOWNLOAD NOW
Jika muncul iklan pop-up, tutup lalu klik tombol kembali

Download lagu Use (a) the Trapezoidal Rule, (b) the Midpoint Rule, and (c) Simpson's Rule to approximate the give… secara gratis hanya untuk keperluan promosi. Dukung artis favorit kamu dengan membeli musik original di iTunes atau platform resmi lainnya.