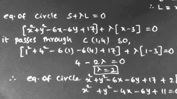
CIRCLES (PART - 4) Inter maths 2B by Akula Rukminivaas Reddy,Find Circle eq passing through 3 Points

Tonton & Download Video Musik Gratis

⬇ DOWNLOAD NOW
Jika muncul iklan pop-up, tutup lalu klik tombol kembali

Download lagu CIRCLES (PART - 4) Inter maths 2B by Akula Rukminivaas Reddy,Find Circle eq passing through 3 Points secara gratis hanya untuk keperluan promosi. Dukung artis favorit kamu dengan membeli musik original di iTunes atau platform resmi lainnya.