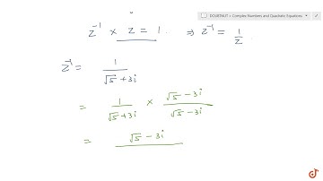
Find the multiplicative inverse of each of the complex numbers given in the exercies 11 to 13. √5+3i

Tonton & Download Video Musik Gratis

⬇ DOWNLOAD NOW
Jika muncul iklan pop-up, tutup lalu klik tombol kembali

Download lagu Find the multiplicative inverse of each of the complex numbers given in the exercies 11 to 13. √5+3i secara gratis hanya untuk keperluan promosi. Dukung artis favorit kamu dengan membeli musik original di iTunes atau platform resmi lainnya.