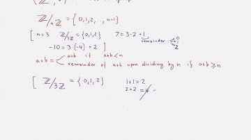
Project Elliptic Curves - 05 - Direct Sums Of Abelian Groups

Tonton & Download Video Musik Gratis

⬇ DOWNLOAD NOW
Jika muncul iklan pop-up, tutup lalu klik tombol kembali

Download lagu Project Elliptic Curves - 05 - Direct Sums Of Abelian Groups secara gratis hanya untuk keperluan promosi. Dukung artis favorit kamu dengan membeli musik original di iTunes atau platform resmi lainnya.