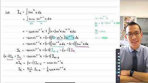
Recurrence Relations (3 of 4: Applying to Trigonometric Functions raised to power of n)

Tonton & Download Video Musik Gratis

⬇ DOWNLOAD NOW
Jika muncul iklan pop-up, tutup lalu klik tombol kembali

Download lagu Recurrence Relations (3 of 4: Applying to Trigonometric Functions raised to power of n) secara gratis hanya untuk keperluan promosi. Dukung artis favorit kamu dengan membeli musik original di iTunes atau platform resmi lainnya.