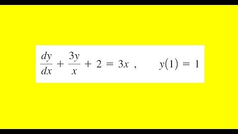
Solve the initial value problem and determine maximum value - Differential Equations Problem 2.2.19

Tonton & Download Video Musik Gratis

⬇ DOWNLOAD NOW
Jika muncul iklan pop-up, tutup lalu klik tombol kembali

Download lagu Solve the initial value problem and determine maximum value - Differential Equations Problem 2.2.19 secara gratis hanya untuk keperluan promosi. Dukung artis favorit kamu dengan membeli musik original di iTunes atau platform resmi lainnya.