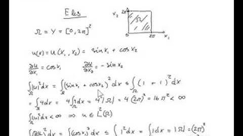
Lecture 15 Part 7: Error estimate in H1 Sobolev and L2 norms

Tonton & Download Video Musik Gratis

⬇ DOWNLOAD NOW
Jika muncul iklan pop-up, tutup lalu klik tombol kembali

Download lagu Lecture 15 Part 7: Error estimate in H1 Sobolev and L2 norms secara gratis hanya untuk keperluan promosi. Dukung artis favorit kamu dengan membeli musik original di iTunes atau platform resmi lainnya.