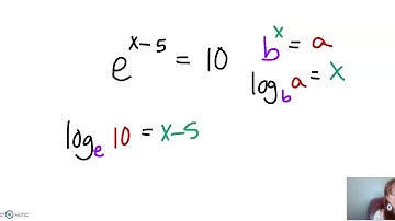
Algebra: Base e and Natural Logarithms - Switch Between Natural Log and Exponential Forms

Tonton & Download Video Musik Gratis

⬇ DOWNLOAD NOW
Jika muncul iklan pop-up, tutup lalu klik tombol kembali

Download lagu Algebra: Base e and Natural Logarithms - Switch Between Natural Log and Exponential Forms secara gratis hanya untuk keperluan promosi. Dukung artis favorit kamu dengan membeli musik original di iTunes atau platform resmi lainnya.