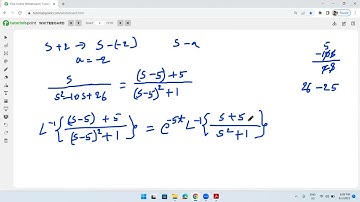
JNTU B.Tech M1 Maths. First Shifting Theorem on Inverse Laplace Transforms and some important result

Tonton & Download Video Musik Gratis

⬇ DOWNLOAD NOW
Jika muncul iklan pop-up, tutup lalu klik tombol kembali

Download lagu JNTU B.Tech M1 Maths. First Shifting Theorem on Inverse Laplace Transforms and some important result secara gratis hanya untuk keperluan promosi. Dukung artis favorit kamu dengan membeli musik original di iTunes atau platform resmi lainnya.