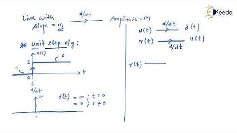
Exploring Basics Of Elementary Continuous Time Signals For GATE Signals & Systems

Tonton & Download Video Musik Gratis

⬇ DOWNLOAD NOW
Jika muncul iklan pop-up, tutup lalu klik tombol kembali

Download lagu Exploring Basics Of Elementary Continuous Time Signals For GATE Signals & Systems secara gratis hanya untuk keperluan promosi. Dukung artis favorit kamu dengan membeli musik original di iTunes atau platform resmi lainnya.