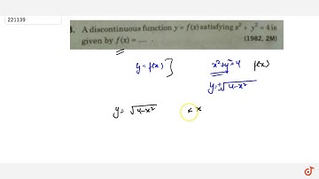
[IIT 1982] Find a discontinuous function y=f(x) satisfying square(x) + square(y) = 4.

Tonton & Download Video Musik Gratis

⬇ DOWNLOAD NOW
Jika muncul iklan pop-up, tutup lalu klik tombol kembali

Download lagu [IIT 1982] Find a discontinuous function y=f(x) satisfying square(x) + square(y) = 4. secara gratis hanya untuk keperluan promosi. Dukung artis favorit kamu dengan membeli musik original di iTunes atau platform resmi lainnya.