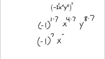
Section 10.3 Homework Exercises #12 through #15 in MyMathLab

Tonton & Download Video Musik Gratis

⬇ DOWNLOAD NOW
Jika muncul iklan pop-up, tutup lalu klik tombol kembali

Download lagu Section 10.3 Homework Exercises #12 through #15 in MyMathLab secara gratis hanya untuk keperluan promosi. Dukung artis favorit kamu dengan membeli musik original di iTunes atau platform resmi lainnya.