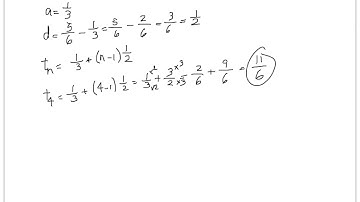
Arithmetic Sequence and Series exc. 6.4 Maths first year Lecture 6 by sir Waheed Khalid in Urdu

Tonton & Download Video Musik Gratis

⬇ DOWNLOAD NOW
Jika muncul iklan pop-up, tutup lalu klik tombol kembali

Download lagu Arithmetic Sequence and Series exc. 6.4 Maths first year Lecture 6 by sir Waheed Khalid in Urdu secara gratis hanya untuk keperluan promosi. Dukung artis favorit kamu dengan membeli musik original di iTunes atau platform resmi lainnya.