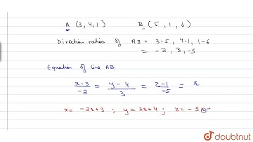
Find the coordinates of the point where the line through the points `A(3,4,1) and B(5,1,6)` crosses

Tonton & Download Video Musik Gratis

⬇ DOWNLOAD NOW
Jika muncul iklan pop-up, tutup lalu klik tombol kembali

Download lagu Find the coordinates of the point where the line through the points `A(3,4,1) and B(5,1,6)` crosses secara gratis hanya untuk keperluan promosi. Dukung artis favorit kamu dengan membeli musik original di iTunes atau platform resmi lainnya.