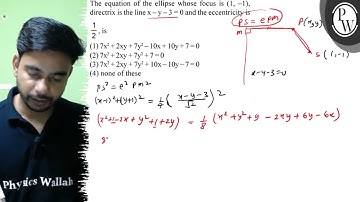
Diploma Maths 02 || Find Eq Of Ellipse Whose Focus(1,-1) & Directrix x-y+3=0 & E=½ || Maths VS Man

Tonton & Download Video Musik Gratis

⬇ DOWNLOAD NOW
Jika muncul iklan pop-up, tutup lalu klik tombol kembali

Download lagu Diploma Maths 02 || Find Eq Of Ellipse Whose Focus(1,-1) & Directrix x-y+3=0 & E=½ || Maths VS Man secara gratis hanya untuk keperluan promosi. Dukung artis favorit kamu dengan membeli musik original di iTunes atau platform resmi lainnya.