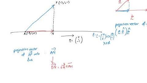
AQA Core 4 7.06a Finding the Coordinates of the Foot of the Perpendicular from a Point to a Line

Tonton & Download Video Musik Gratis

⬇ DOWNLOAD NOW
Jika muncul iklan pop-up, tutup lalu klik tombol kembali

Download lagu AQA Core 4 7.06a Finding the Coordinates of the Foot of the Perpendicular from a Point to a Line secara gratis hanya untuk keperluan promosi. Dukung artis favorit kamu dengan membeli musik original di iTunes atau platform resmi lainnya.