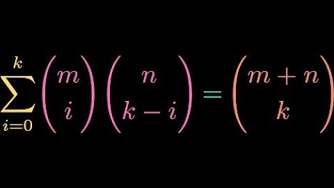
lec 4 Hypergeometric Function: Vandermonde identity and Kummer identity

Tonton & Download Video Musik Gratis

⬇ DOWNLOAD NOW
Jika muncul iklan pop-up, tutup lalu klik tombol kembali

Download lagu lec 4 Hypergeometric Function: Vandermonde identity and Kummer identity secara gratis hanya untuk keperluan promosi. Dukung artis favorit kamu dengan membeli musik original di iTunes atau platform resmi lainnya.