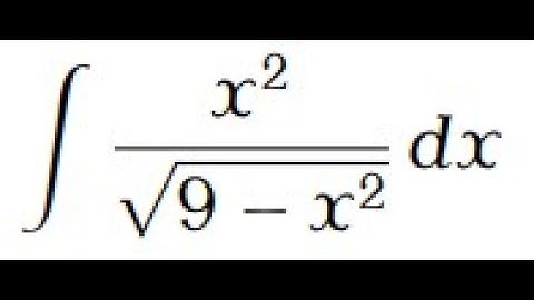
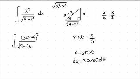
#MA3151- Integrals - Part B Evaluate integral sqrt{9-x^2}by x^2 dx using trigonometric substitution.

Tonton & Download Video Musik Gratis

⬇ DOWNLOAD NOW
Jika muncul iklan pop-up, tutup lalu klik tombol kembali

Download lagu #MA3151- Integrals - Part B Evaluate integral sqrt{9-x^2}by x^2 dx using trigonometric substitution. secara gratis hanya untuk keperluan promosi. Dukung artis favorit kamu dengan membeli musik original di iTunes atau platform resmi lainnya.