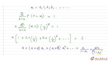
The random variable X can take only the values 0, 1, 2, 3 . Given that P(X = 0) = P(X = 1) = p and..

Tonton & Download Video Musik Gratis

⬇ DOWNLOAD NOW
Jika muncul iklan pop-up, tutup lalu klik tombol kembali

Download lagu The random variable X can take only the values 0, 1, 2, 3 . Given that P(X = 0) = P(X = 1) = p and.. secara gratis hanya untuk keperluan promosi. Dukung artis favorit kamu dengan membeli musik original di iTunes atau platform resmi lainnya.