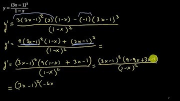
Simple Derivatives Using the Chain Rule – Calculus Polynomial Derivatives Chain Rule Part 2

Tonton & Download Video Musik Gratis

⬇ DOWNLOAD NOW
Jika muncul iklan pop-up, tutup lalu klik tombol kembali

Download lagu Simple Derivatives Using the Chain Rule – Calculus Polynomial Derivatives Chain Rule Part 2 secara gratis hanya untuk keperluan promosi. Dukung artis favorit kamu dengan membeli musik original di iTunes atau platform resmi lainnya.