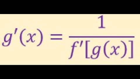
Evaluate the Derivative of an Inverse Without Finding The Inverse Algebraically

Tonton & Download Video Musik Gratis

⬇ DOWNLOAD NOW
Jika muncul iklan pop-up, tutup lalu klik tombol kembali

Download lagu Evaluate the Derivative of an Inverse Without Finding The Inverse Algebraically secara gratis hanya untuk keperluan promosi. Dukung artis favorit kamu dengan membeli musik original di iTunes atau platform resmi lainnya.