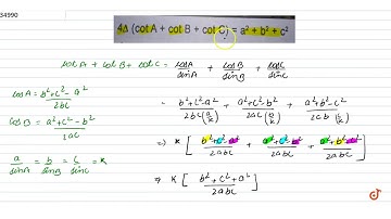
4#Properties_Of_Triangles Show that Cot A + Cot B + Cot C = a² + b² + c² / 4Δ

Tonton & Download Video Musik Gratis

⬇ DOWNLOAD NOW
Jika muncul iklan pop-up, tutup lalu klik tombol kembali

Download lagu 4#Properties_Of_Triangles Show that Cot A + Cot B + Cot C = a² + b² + c² / 4Δ secara gratis hanya untuk keperluan promosi. Dukung artis favorit kamu dengan membeli musik original di iTunes atau platform resmi lainnya.