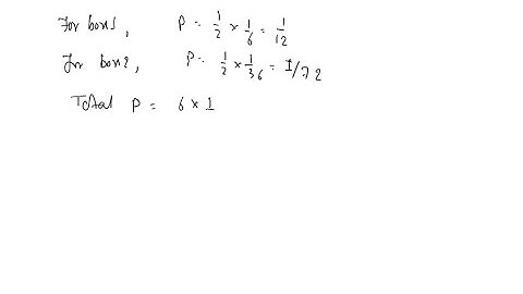
Three numbers are chosen at random with out replacement from the set of integers \( \{1,2,3, \ld...

Tonton & Download Video Musik Gratis

⬇ DOWNLOAD NOW
Jika muncul iklan pop-up, tutup lalu klik tombol kembali

Download lagu Three numbers are chosen at random with out replacement from the set of integers \( \{1,2,3, \ld... secara gratis hanya untuk keperluan promosi. Dukung artis favorit kamu dengan membeli musik original di iTunes atau platform resmi lainnya.