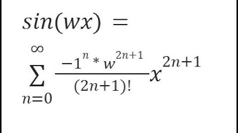
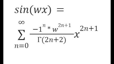
Wavelength of SIN(wx) using Google Sheets Taylor Maclaurin SERIESSUM & LINEST Polynomial Regression

Tonton & Download Video Musik Gratis

⬇ DOWNLOAD NOW
Jika muncul iklan pop-up, tutup lalu klik tombol kembali

Download lagu Wavelength of SIN(wx) using Google Sheets Taylor Maclaurin SERIESSUM & LINEST Polynomial Regression secara gratis hanya untuk keperluan promosi. Dukung artis favorit kamu dengan membeli musik original di iTunes atau platform resmi lainnya.