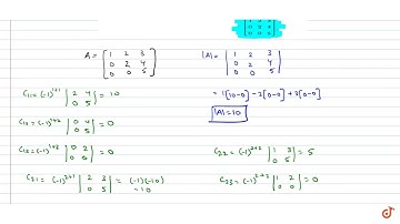
Find inverse of the matrix (if it exists) [1 2 3 0 2 4 0 0 5]|Determinants|Matrices|NCERT|Solutions|

Tonton & Download Video Musik Gratis

⬇ DOWNLOAD NOW
Jika muncul iklan pop-up, tutup lalu klik tombol kembali

Download lagu Find inverse of the matrix (if it exists) [1 2 3 0 2 4 0 0 5]|Determinants|Matrices|NCERT|Solutions| secara gratis hanya untuk keperluan promosi. Dukung artis favorit kamu dengan membeli musik original di iTunes atau platform resmi lainnya.