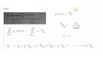
The value of `sum_(r=1)^10 r* (nC_r)/(nC_(r-1)` equal is to

Tonton & Download Video Musik Gratis

⬇ DOWNLOAD NOW
Jika muncul iklan pop-up, tutup lalu klik tombol kembali

Download lagu The value of `sum_(r=1)^10 r* (nC_r)/(nC_(r-1)` equal is to secara gratis hanya untuk keperluan promosi. Dukung artis favorit kamu dengan membeli musik original di iTunes atau platform resmi lainnya.