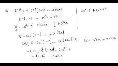
JEE Mains 2021 PYQ [29,Aug,2021(Shift-II)] || find the value of tan(p) || ITF PYQ

Tonton & Download Video Musik Gratis

⬇ DOWNLOAD NOW
Jika muncul iklan pop-up, tutup lalu klik tombol kembali

Download lagu JEE Mains 2021 PYQ [29,Aug,2021(Shift-II)] || find the value of tan(p) || ITF PYQ secara gratis hanya untuk keperluan promosi. Dukung artis favorit kamu dengan membeli musik original di iTunes atau platform resmi lainnya.