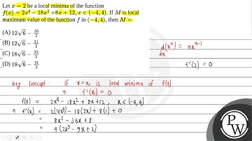
Let x = 2 be a local minima of the function f(x) = 2x4 - 18x2 + 8x + 12, x ∈(-4,4). If M is local ma

Tonton & Download Video Musik Gratis

⬇ DOWNLOAD NOW
Jika muncul iklan pop-up, tutup lalu klik tombol kembali

Download lagu Let x = 2 be a local minima of the function f(x) = 2x4 - 18x2 + 8x + 12, x ∈(-4,4). If M is local ma secara gratis hanya untuk keperluan promosi. Dukung artis favorit kamu dengan membeli musik original di iTunes atau platform resmi lainnya.