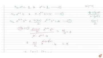
The first three terms in the expansion of a binomial are 1, 10, 40. Find it

Tonton & Download Video Musik Gratis

⬇ DOWNLOAD NOW
Jika muncul iklan pop-up, tutup lalu klik tombol kembali

Download lagu The first three terms in the expansion of a binomial are 1, 10, 40. Find it secara gratis hanya untuk keperluan promosi. Dukung artis favorit kamu dengan membeli musik original di iTunes atau platform resmi lainnya.