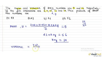
The mean and variance of seven observations are 8 and 16 , respectively. If 5 of the observation....

Tonton & Download Video Musik Gratis

⬇ DOWNLOAD NOW
Jika muncul iklan pop-up, tutup lalu klik tombol kembali

Download lagu The mean and variance of seven observations are 8 and 16 , respectively. If 5 of the observation.... secara gratis hanya untuk keperluan promosi. Dukung artis favorit kamu dengan membeli musik original di iTunes atau platform resmi lainnya.