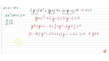
If for all real x, for which (x+a)/(x^2+bx+c^2 ) is defined and it attains all real values then

Tonton & Download Video Musik Gratis

âŦ‡ DOWNLOAD NOW
Jika muncul iklan pop-up, tutup lalu klik tombol kembali

Download lagu If for all real x, for which (x+a)/(x^2+bx+c^2 ) is defined and it attains all real values then secara gratis hanya untuk keperluan promosi. Dukung artis favorit kamu dengan membeli musik original di iTunes atau platform resmi lainnya.