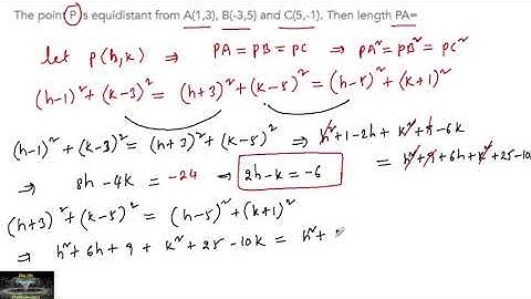
Radius of circumcircle of a triangle ABC is 5 root 10 unitz . if point p is equidistant from A(1,3)

Tonton & Download Video Musik Gratis

⬇ DOWNLOAD NOW
Jika muncul iklan pop-up, tutup lalu klik tombol kembali

Download lagu Radius of circumcircle of a triangle ABC is 5 root 10 unitz . if point p is equidistant from A(1,3) secara gratis hanya untuk keperluan promosi. Dukung artis favorit kamu dengan membeli musik original di iTunes atau platform resmi lainnya.