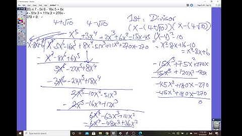
Algebra II Trigonometry Honors Big Idea Chapter 4 Polynomial Lecture Part 1

Tonton & Download Video Musik Gratis

⬇ DOWNLOAD NOW
Jika muncul iklan pop-up, tutup lalu klik tombol kembali

Download lagu Algebra II Trigonometry Honors Big Idea Chapter 4 Polynomial Lecture Part 1 secara gratis hanya untuk keperluan promosi. Dukung artis favorit kamu dengan membeli musik original di iTunes atau platform resmi lainnya.