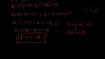
1.2.1 describe the associative property of complex numbers with respect to addition & multiplication

Tonton & Download Video Musik Gratis

⬇ DOWNLOAD NOW
Jika muncul iklan pop-up, tutup lalu klik tombol kembali

Download lagu 1.2.1 describe the associative property of complex numbers with respect to addition & multiplication secara gratis hanya untuk keperluan promosi. Dukung artis favorit kamu dengan membeli musik original di iTunes atau platform resmi lainnya.